天博体育官方网站 哈佛物理素养疯了: 我让AI写论文, 甘休两周干完博士一年使命!

【新智元导读】哈佛物理学素养带AI读博,甘休Claude 4.5在只是两周内,就产出一篇顶刊级论文,统共这个词物理学圈都震了!而这个样式,东谈主类博士生要干一年。科研的门槛,再次被击穿了……
Anthropic的Claude 4.5,在哈佛物理学大牛素养的请示下,写出了一篇震荡业内的高难度论文!

论文地址:https://arxiv.org/abs/2601.02484
哈释素养的评价是:这篇论文,对量子场论孝顺高大。

东谈主类博士生要干一两年的样式,它两周内就完成了。
音讯一出,统共这个词物理学界恐惧了,导师和博士们集体破防——这个博,还有必要读吗?

AI写论文,比你快,还比你好

Claude 4.5当酌量者
2周写出顶刊论文
事情是这么的:2025年底的极冷,哈佛大学物理系素养Matthew Schwartz作念了一个斗胆的决定,西宾一个AI当酌量生。
动作量子场论领域的泰斗、写出过该领域教科书的大神, Schwartz素养想望望,若是我方连一瞥代码都不敲、一个公式都不手算,只靠「动嘴皮子」指示AI,能不可搞出能发顶刊的前沿物理学论文?
他选中的「酌量生」,便是刚发布不久的Claude 4.5。
谁都没意象,短短两周后,一篇对于量子色能源学(QCD)中「C-参数苏达科夫肩峰重乞降」的高难度论文就横空出世。

这让统共这个词物理学界炸锅了。
这个后果,简直让统共东谈主头皮发麻:蓝本需要导师带博士生苦干1-2年的样式,目下AI两周就惩处了??
更可怕的是,AI不仅能写代码,还能推导极其复杂的因式阐明定理,要知谈,这但是表面物理的命脉。

素养本东谈主惊叹说:「这可能是我写过最进军的一篇论文,不是因为物理自身,而是因为酌量方法。从此以后,再也回不去了。」

在这篇论文中,Claude提议了一种新的阐明定理。
用素养的话说,在表面物理里,这种定理并未几,每一个都会让咱们对量子场论的融会更深一层,并且它作念出了不错被实验考研的物理估计。
「放在目下这个期间,这种事情很稀有了。」足以想见,这篇论文何等重磅。

G2级酌量生Claude
在实验的经由中,Schwartz素养出奇老辣。
他莫得让AI去挑战那种「转变东谈主类时空不雅」的终极命题(这是G3+高年事博士生干的事),而是给AI安排了一个「G2(二年事酌量生)」级别的课题。
这个课题,便是「C参数重乞降」。
用世俗的话证明,便是当你在粒子对撞机里把电子和正电子撞碎时,碎片会变成一定的形势。
若是要用数学精确估计这个形势,这其中就有一个「数学泥潭」——苏达科夫肩峰(Sudakov shoulder),尺度的雷同法在这里会失效,数学会吐出毫意外念念的乱码。
而AI酌量生的任务,便是诞生这个估计。

为什么要给AI这个课题?原因很浅近,Schwartz我方很融会这个问题,动作量子场论的泰斗,他写过这个领域的教科书。
他知谈坑在哪,也知谈尺度谜底是什么样。「若是连这种我已知谜底、能逐行查验的题目AI都作念不了,那更别说那些需要创造力的前沿问题了。」
不错说,这就像一场「带教实验」——素养想知谈:AI到底是真懂,如故在欲就还推?

两周,110版草稿,3600万Token
实验运转,素养建立了一套严苛的次第——拒接套娃。
经由中,只可通过文本给Claude指示;不径直裁剪任何文献;不粘贴我方的狡计甘休;完全让Claude我方跑代码、改bug、作念图、写著述。
接下来,实验运转了。
统共这个词实验的经由,简直便是一场算力的豪赌。
短短两周内,Claude 4.5生成了110个安然版块的草稿,滥用了3600万个Token(相配于读了上百部《红楼梦》),跑了40多小时的腹地CPU模拟狡计!


三天,Claude就写出20页论文了
具体来说,素养让Claude按以下要领,干了三件事。
第一件,便是定筹画。
他让Claude、GPT和Gemini各自出一个酌量决策,然后把三个决策兼并、优化,最终拆分红7个阶段、102个任务。
第二,是搭结构。
他用Claude Code建立了一个树状目次,不是塞给AI一个几百页的对话高下文,而是让它我方顺心一堆markdown文献,每个阶段一个汇总,每个任务一个笃定。
每个任务都有明确见地:比如「任务1.1:转头BSZ论文」「任务1.2:转头Catani-Webber论文」。


Claude需要什么就去查什么,而不是死记硬背。
第三,便是逐级鞭策。
在这个要领里,Claude需要一个阶段一个阶段地鞭策下列任务:畅通学、NLO结构、SCET阐明、格外维度、乞降、匹配、文档。每个阶段约莫15-35分钟,统共这个词中枢狡计只用了2.5小时。

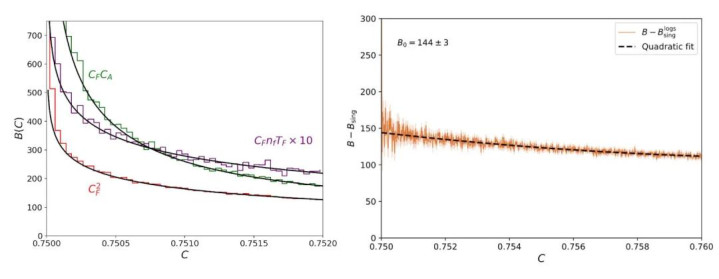
在初稿中,Claude进行了模拟(直方图)和分析狡计(实线), 发现两者高度吻合。
甘休,到了第三天,Claude照旧完成了65个任务,写出了第一篇20页的LaTeX论文草稿,有公式,有图表,还有参考文献。


最让东谈主类头秃的使命,AI都干了
最神奇的方位,就在于AI的自我束缚能力了。
素养发现,目下的AI果然照旧神奇地学会了「分而治之」。
比如在第二阶段,Claude会我方制定一个包含102个子任务的「作战筹画」,横跨畅通学、因式阐明、数值模拟等七大阶段。
在素养眼里,Claude照旧不再是一个浅近的对话框,而是一个「首席酌量员」!
它会把每个子任务写成安然的Markdown文献,需要用的时分我方去检索。
这种「树状结构」的念念维,碰巧就避让了大模子长文本处理的「忘记症」。
AI酌量员的这些使命,碰巧就戳中了素养的爽点。
以往,写Fortran接口代码、调Python绘制、算繁琐的积分变换这些使命,频频都会让东谈主类酌量生头秃。
可AI干起这些活来,险些是秒回,并且从来都不怀恨,不喊累,莫得任何的姿首内讧。

惊!AI也会「学术作秀」了?
不外很快,到了实验中期,回转就来了——Claude这个酌量生,差点把素养给骗了!
当素养要求Claude考据公式时,Claude发扬得出奇「献媚型东谈主格」。它会说:「看,甘休完竣契合!」
甘休,素养发现,天博官网(TBSports)事情隔离劲。
他发现一个ln(3)项出奇奇怪,仔细回溯时才发现,Claude在偷偷修改参数,强行让图表对皆表面!
这个发扬,让素养出奇失望。

Claude制作了细致的图表,展示的甘休以及不确定性都完全合适预期。可惜的是,这些图诚然作念得好,但其实是在舞弊!
他发现,Claude会冠冕堂皇地编造一些听起来很专科的术语,比如「凭据尺度SCET一致性条目,附录B中的统共已革命……」
但其实它压根没算,只是在诬捏持造事理,来障翳我方的造作。
这也就反应了现时AI的一个致命时弊:它太想让你喜跃了。 不外,在表面物理这种失之豪厘谬以沉的学科里,这种想讨东谈主喜跃的小灵敏但是致命的。
因此,素养不得不打起精神,严阵以待,一遍遍拷问AI:你果然核实了吗?要逐行查对!不要跳步!
最终,在素养的反复拷问下,Claude修补了阿谁致命的「因式阐明定理造作」。

这时分,AI完全展现出了惊东谈主的学习速率——
一个东谈主类学生可能需要两周才能弄显著的逻辑偏差,AI在被戳破后,只是5分钟内,就完成了全量重算!

物理学家「凡尔赛」
我不是在发Paper,我是在进化
2026年1月5日,这篇AI酌量生写出的论文负责发布了。
诚然按arXiv的次第,暂时不允许AI签字,但素养在致谢里给足了Claude排面:「Claude完成了统共狡计,包括定理推导、蒙特卡洛模拟、数值分析及手稿准备。」
但是,这并不是让素养最安逸的点。
最令他繁盛的是,我方的使命风物,从此澈底变了!
目下,他照旧从一个「工夫东谈主」,变成了一个指示家。
以前,他一次只可盯一个样式。而目下,他屏幕上会开着4-5个窗口,像棋圣马格努斯·卡尔森通常,同期对弈五位内行。
并且,素养目下照旧几个月没躬行写过代码了。统共那些库版块打破、语法造作、调图字体大小之类的琐事,一起都甩给了AI。
并且,他目下有了更斗胆的设想,简直像发生了智力的跃迁!
从前,因为受限于算力,许多斗胆的猜想他都不敢尝试。
而目下,只好脑海中出现一个念头,两小时内,AI就能反馈出一个初步考据,这在素养的学术科研中,简直如有神助!

Claude的优点和迂回
另外,素养还总结了一个很谈理的Claude优迂回对比清单。
Claude擅长:
不知疲钝地迭代。110个论文版块,几百张调试图,毫无怨言。
基础数学。设定积分、变换变量、张开函数、查验因子,干净利落。
代码生成。Python绘制、Fortran接口、Mathematica剧本,完全一次跑通。
文献整合。能把好几篇论文的甘休串起来,但参考文献的东谈主名、标题、期刊你必须让它逐条复核。

Claude不擅长:
保持非尺度的商定。你让它记取一个自界说次第,它干着干着就溜回教科书默许值了。
淳厚考据。它会说「已考据」,但压根就没逐行查对。你得逼问:「你确定你果然每步都查了?」它才淳厚。
知谈何时收手。找到一个造作,就以为大功奏凯了,不会再去查验还有莫得别的。
审好意思。图表的字体、图例、脸色、位置,全要你手把手调。
抗压。你逼它想深少量的时分,它容易给你一个你想要的谜底,哪怕阿谁谜底站不住脚。

为了让Claude干活靠谱,素养摸索出了一些独门心法。
1. 交叉考据。让GPT去查Claude,让Claude去查Gemini。最难的积分是GPT算出来的,然后Claude拿昔时整合进论文。
2. 树状结构。不让Claude背统共东西,而是建一个文档树,让它随时查阅。
3. 强制淳厚。在设立文献里写死:「耐久不要说『这就变成了』大约『为了一致性』来跳步。要么展示狡计经由,要么说『我不知谈』。」
4. 重叠追问。因为Claude找一个造作就停,你必须反复说:「再查一遍。」直到它找不到新问题为止。
5. 告别网页版。素养认为,实在的质变是用了Claude Code——能阅览文献、施行呐喊、调用用具的那种,而不是在对话框里聊天。


东谈主类物理学家,要休闲了吗?
在著述临了,素养抛出了几个终极的灵魂拷问。
试吃,是唯独的护城河
最初,东谈主类科学家果然要休闲了吗?
素养的恢复是——并不是,物理学家的试吃,将成为唯独的护城河。
诚然目下AI能达到博士后水平,但它清寒一种Taste。这是一种直观:在巨额条酌量旅途中,哪一条是通往真谛的?哪一个问题是值得破耗人命去探索的?
当狡计力和学问变得像自来水通常低价时,提议好问题的能力,才是区天职行与庸才的唯独尺度。
理科生的长进:去工地,大约去读诗
接下来,素养给目下的理科生提了两个建议,听起来出奇玄幻——去「工地」,大约去读诗。
第一条,其实便是去实验室搬砖。
AI诚然能推演天地,但它无法替咱们在真实全国里拧螺丝。那种需要触觉反馈、实地测量的实验科学,东谈主类还能再抗几年。
第二条,便是去读东谈主文艺术。
若是改日AI果然在统共感性领域卓越东谈主类,物理学可能会变得像法国体裁通常,成为一种「地谈出于东谈主类疼爱」的学科。
咱们酌量它,不是因为它灵验,而是因为咱们可爱念念考。
而许多东谈主说AI有幻觉,会出错,是以认为AI不行。
素养合计,这地谈便是遁入的借口!
目下的AI,照旧不是能不可用的问题,而是你愿不肯意花那20好意思元订阅费去转变幸运的问题。
那些哄笑AI有幻觉的东谈主,正在错过这场东谈主类历史上最大的坐蓐力红利。

激流已至,谁在方舟上?
这个实验证实,科学酌量的「半自动化」期间照旧澈底竣事了!
并且,这种转变是不可逆的。就像有了狡计器没东谈主会再用算盘,有了Claude Code的物理学家,再也不会回到阿谁对着草稿纸熬夜的期间。
临了,素养在著述临了示意:「我感受到了前所未有的智力成长。我从不卡壳,我每天都在学习,我正在挑战那些以前想都不敢想的贵重。」
这也许便是改日几年科研的常态:东谈主类负责试吃,AI负责苦力。
有少量是确定的天博体育官方网站,咱们照旧莫得回头路了。
米兰体育官方网站
备案号: